MULFOX
News
November 4, 2020
Tetiana Zakusylo succesfully defended her Master’s thesis!
October 23, 2020
Carlos Zarco is starting bachelor stage with us
October 22, 2020
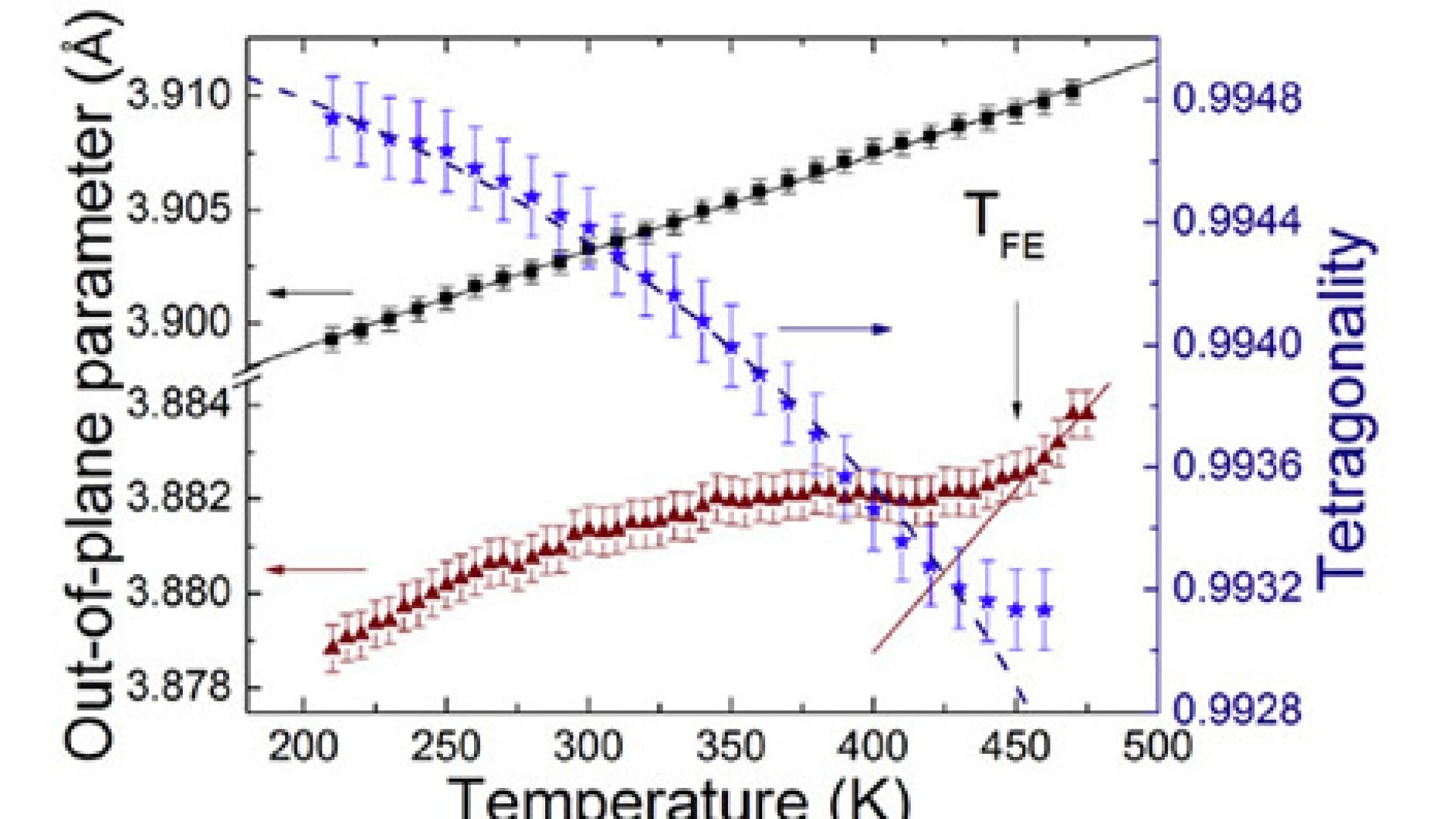
OPTOFEM2020 starts
October 10, 2020
Optically Controlled Ferroelectric Memristors Summer School
October 9, 2020
Ignasi Fina awarded with Leonardo project from BBVA
September 14, 2020
Best poster for Yunwei Sheng. Yunwei Sheng was awarded with the best poster prize during the last biennial meeting of the Condensed Matter Divisions of the Spanish Royal Physics Society (RSEF-GEFES) and of the European Physical Society (EPS-CMD). We want to congratulate Yunwei for her great work!
October 10, 2019
Nobel Prize in Chemistry 2019 awarded jointly to John B. Goodenough, M. Stanley Whittingham and Akira Yoshino for the development of lithium-ion batteries. J.B. Goodenough closely followed the research activity and collaborate with MULFOX members on Oxide Science and Technology. Congratulations to you all.
June 17, 2019
Ignasi Fina in “Bojos per la Física”! The Fundació Catalunya La Pedrera develops the program “Bojos per la Ciència” to open the doors of the most relevant research institutes to the most excellent secondary school students. Ignasi Fina from MULFOX was in charge of showing piezoelectricity to the students.
January 20, 2019
Ignasi Fina al Centre Cívic Sagrada Família
September 18, 2018
Ignasi Fina gives two lectures at UCE Prada
July 11, 2018
POST-Doctoral positions (3 years) offered
June 19, 2018
New projected granted to Ignasi Fina
February 7, 2018
New students in our group
September 26, 2017
Research projects offered as TFG in Physics (Degree in Physics at UAB) 2017
August 17, 2017
Fanmao Liu Cum-Laude
August 17, 2017
Fanmao Liu starts his professional carrier
July 24, 2017
Fanmao Liu successfully defended his thesis
July 20, 2017
Dr. Ingrid Cañero from CNRS will give a talk at ICMAB
April 19, 2017
March for Science: On 22ns April we joint it.
April 6, 2017
Last of three days at Alba Synchrotron
March 31, 2017
ICMAB lecture by Prof. Ivan K. SCHULLER on 31st March.
March 20, 2017
Iranian New Year
March 16, 2017
Greta is at TEDx Talks. Great Greta !!!
March 3, 2017
ORAL PRESENTATION at the E-MRS 2017 Spring Meeting
March 2, 2017
We are now at Bessy Synchrotron in Berlin
March 1, 2017
Experiments completed: Beam time at ALBA synchrotron
February 27, 2017
We have lost a lovely regard and a giant scientist
February 20, 2017
Experiments underway. Beam time at ALBA synchrotron
February 16, 2017
Beam time at ALBA synchrotron
February 10, 2017
Education Committee of the IEEE Magnetic Society
February 9, 2017
Beam time at ALBA
June 3, 2016
Ferran Macià
April 15, 2016
Mathieu Mirjolet
September 24, 2015
Invited Talk of Florencio Sánchez at E-MRS Fall Meeting (Warsaw) 2015
May 22, 2015
Spin Ice at ICMAB
May 13, 2015
Florencio Sánchez co-organizes MRS
May 13, 2015
Florencio Sánchez co-organizes EMRS
February 18, 2015
The year of the Sheep arrived in China
February 17, 2015
PhD Defense of Diego Gutiérrez
January 16, 2015
NEW CALL FOR PhD GRANTS
January 16, 2015
Our Research in the Media
October 16, 2014
Mengdi Qian
October 14, 2014
David Pesquera
September 16, 2014
Conference of M. Scigaj at E-MRS Fall Meeting at Warzaw (Poland)
September 16, 2014
Conference of M Scigal at E-MRS Fall Meeting at Warzaw (Poland)
September 16, 2014
Invited Conference of Josep Fontcuberta at E-MRS Fall Meeting
July 9, 2014
Regular Lecture of Josep Fontcuberta at NanoSelect
July 9, 2014
Regular Lecture of Gervasi Herranz at NanoSelect
July 9, 2014
Regular Lecture of David Pesquera at NanoSelect
July 9, 2014
Regular Lecture of Mateusz Scigaj at NanoSelect
July 9, 2014
Regular Lecture of Diego Gutierrez at NanoSelect
July 9, 2014
Regular Lecture of Fanmao Liu at NanoSelect
February 10, 2014
Ondřej Vlašín will defend his PhD work
October 22, 2013
Learn from giants
October 22, 2013
“The Economist” thinks about science
October 1, 2013
Invited Lecture of Josep Fontcuberta at JCNS Workshop 2013
September 9, 2013
Patricia de Coux will defend her PhD thesis next September 30
February 14, 2013