Transparent metallic oxides are pivotal materials in information technology, photovoltaics, or even in architecture. They display the rare combination of metallicity and transparency in the visible range because of weak interband photon absorption and weak screening of free carriers to impinging light. However, the workhorse of current technology, indium tin oxide (ITO), is facing severe limitations and alternative approaches are needed. AMO3 perovskites, M being a nd1 transition metal, and A an alkaline earth, have a genuine metallic character and, in contrast to conventional metals, the electron–electron correlations within the nd1 band enhance the carriers effective mass (m*) and bring the transparency window limit (marked by the plasma frequency, ωp*) down to the infrared. Here, it is shown that epitaxial strain and carrier concentration allow fine tuning of optical properties (ωp*) of SrVO3 films by modulating m* due to strain‐induced selective symmetry breaking of 3d‐t2g(xy, yz, xz) orbitals. Interestingly, the DC electrical properties can be varied by a large extent depending on growth conditions whereas the optical transparency window in the visible is basically preserved. These observations suggest that the harsh conditions required to grow optimal SrVO3 films may not be a bottleneck for their future application.
Author: albert
Clemens Lindermeir from Wolfenbüttel
Written by albert on . Posted in Visitors.
Hi, my name is Clemens Lindermeir from Wolfenbüttel, Germany. I joined the ICMAB to do an internship for a year. In Germany I study chemical engineering at the Clausthal University of Technology. Apart from that I enjoy being outdoors, riding motorcycle and playing my guitar. I am also a big fan of travelling. During my stay I`d like to learn Spanish (and maybe Catalan) fluently and I will keep looking for new experiences and friends to spend time with.
2019
Written by albert on . Posted in Presentations.
REGULAR ORAL PRESENTATIONS
“In-operando adjustable orbital polarization in LaNiO3 perovskites”
J. Fontcuberta
15th International Workshop on Magnetism & Superconductivity at the Nanoscale.
Comaruga, 4 July 2019
“Nonreciprocal magnetoplasmonic gratings”
G. Herranz
15th International Workshop on Magnetism & Superconductivity at the Nanoscale.
Comaruga, 4 July 2019
“Epitaxial Integration on Si(001) of Ferroelectric Hf0.5Zr0.5O2 Capacitors”
F. Sánchez
ISAF-EMF Conference
Lausanne 17-19 July 2019
“Tunel Electroresistance in Epitaxial Ferroelectric Hf0.5Zr0.5O2 Thin Films”
I. Fina
ISAF-EMF Conference
Lausanne 17-19 July 2019
“Storing Data in Complementary Resistive Switching Ferroelectric Capacitor”
I. Fina
ISAF-EMF Conference
Lausanne 17-19 July 2019
2019
Written by albert on . Posted in Conferences.
INVITED CONFERENCES
“Spin currents. A probe of interfacial magnetism”
J. Fontcuberta
4th Functional Oxide Thin Films for Advanced Energy and Information Technology Conference
Lisboa 17 – 20 July 2019
“Nonreciprocal magnetoplasmonic gratings”
G. Herranz
META 2019, the 10th International Conference on Metamaterials, Photonic Crystals and Plasmonics
Instituto Superior Técnico, Lisbon, Portugal, 23 – 26 July 26, 2019
”Electric-field tunable magnetoplasmonic gratings“,
G. Herranz
SPIE Optics + Photonics conference
San Diego Convention Center, California, United States, 11 – 15 August 2019
“Electroresistance in epitaxial ferroelectric HfO 2 -based thin films”
J. Fontcuberta
Grenoble-Barcelona Twin Conference: Quantum Systems, New Materials & Smart Electronics
Grenoble 23-25 October 2019
“Electric control of antiferromagnetic/ferromagnetic order”
I. Fina
MMM2019
Las Vegas 7th November 2019
Independent Tuning of Optical Transparency Window and Electrical Properties of Epitaxial SrVO3 Thin Films by Substrate Mismatch
Written by albert on . Posted in News.
M. Mirjolet, H. B. Vasili, L. López-Conesa, S. Estradé, F. Peiró, J. Santiso, F. Sánchez, P. Machado, P. Gargiani, M. Valvidares, and J. Fontcuberta*
Adv. Funct. Mater. 2019, 1904238
ABSTRACT
Solid-State Synapses Modulated by Wavelength-Sensitive Temporal Correlations in Optic Sensory Inputs
Written by albert on . Posted in News.
Y. Chen, B. Casals, F. Sánchez, G. Herranz
ACS Appl. Electron. Mater. 1, 7, 1189-1197 (2019)
ABSTRACT
Recently, inspired by neurobiological information processing, correlation-based learning has been expressed physically in nonbiological systems by exploiting the time causality of electric signals. Yet, the capability to learn from visual events requires extending these concepts to optical stimuli. Here we show a solid-state system that is sensitive to 100 ms-scale timing of pairs of light stimuli with complementary short/long visible wavelengths, causing asymmetric changes of photoconductance. This property endows optical signals with time causality, leading to wavelength-sensitive time correlations with time scales comparable with those of perceptual recognition. On the basis of these observations, we propose that complex information can be extracted from visual patterns imprinted as spatiotemporal modulations of persistent photoconductance. We suggest that this capability may stimulate neuromorphic hybrid electronic/photonic systems to construct biomimetic spatial memory and navigation maps inspired from neurobiology.
On the role of interfaces on spin transport in magnetic insulator/normal metal heterostructures
Written by albert on . Posted in News.
J. Fontcuberta, H. B. Vasili, J. Gàzquez and Dr. F. Casanova.
Adv. Mater. Interfaces, 6, 190047 (2019)
ABSTRACT
Spin currents have emerged as a new tool in spintronics, with promises of more efficient devices. A pure spin current can be generated in a nonmagnetic metallic (NM) layer by a charge current (spin Hall effect). When the NM layer is placed in contact with a magnetic material, a magnetoresistance (spin Hall magnetoresistance) develops in the former via the inverse spin Hall effect (ISHE). In other novel spin‐dependent phenomena, such as spin pumping or spin Seebeck effect, spin currents are generated by magnetic resonance or thermal gradients and detected via ISHE in a neighboring normal metal layer. All cases involve spin transport across interfaces between nonmagnetic metallic layers and magnetic materials; quite commonly, magnetic insulators. The structural, compositional, and electronic differences between these materials and their integration to form an interface, challenge the control and understanding of the spin transport across it, which is known to be sensitive to sub‐nanometric interface features. Here, the authors review the tremendous progress in material’s science achieved during the last few years and illustrate how the spin Hall magnetoresistance can be used as a probe for surface magnetism. The authors end with some views on concerted actions that may allow further progress.
Engineering Ferroelectric Hf0.5Zr0.5O2 Thin Films by Epitaxial Stress
Written by albert on . Posted in News.
S. Estandía, N. Dix, J. Gazquez, I. Fina, J. Lyu, M. F. Chisholm, J. Fontcuberta, and F. Sánchez
ACS Applied Electronic Materials, 1, 8, 1449-1457 (2019)
ABSTRACT
The critical impact of epitaxial stress on the stabilization of the ferroelectric orthorhombic phase of hafnia is proved. Epitaxial bilayers of Hf0.5Zr0.5O2(HZO) and La0.67Sr0.33MnO3 (LSMO) electrodes were grown on a set of single crystalline oxide (001)-oriented (cubic or pseudocubic setting) substrates with a lattice parameter in the 3.71–4.21 Å range. The lattice strain of the LSMO electrode, determined by the lattice mismatch with the substrate, is critical in the stabilization of the orthorhombic phase of HZO. On tensilely strained LSMO electrodes, most of the HZO film is orthorhombic, whereas the monoclinic phase is favored when LSMO is relaxed or compressively strained. Therefore, the HZO films on TbScO3 and GdScO3 substrates present substantially enhanced ferroelectric polarization in comparison to films on other substrates, including the commonly used SrTiO3. The capability of having epitaxial doped HfO2 films with controlled phase and polarization is of major interest for a better understanding of the ferroelectric properties and paves the way for fabrication of ferroelectric devices based on nanometric HfO2 films.
Plasticity of Persistent Photoconductance of Amorphous LaAlO3/SrTiO3 Interfaces under Varying Illumination Conditions
Written by albert on . Posted in News.
Y. Chen, B. Casals, G. Herranz
ACS Appl. Electron. Mater. 1, 810-816 (2019)
ABSTRACT
We report on transport measurements under optical stimulation of persistent photoconductance (PPC) at the interface between amorphous LaAlO3 films and SrTiO3 crystals. The spectral response in the visible region was analyzed under varying illumination conditions and exposure times down to milliseconds. The PPC is plastically modulated by optical stimuli of varying strength and duration, demonstrating fine-tuned photoconductive responsivity over a diversity of cumulated timespans. Interestingly, under optimal conditions, the photoconductance is sensitive to intensity contrasts under conditions comparable to bright-sunlight environments. The prospects of exploiting photoconductance—including potential strategies to reach higher sensitivity—are discussed in the context of neuromorphic applications.
Enhanced ferroelectricity in epitaxial Hf0.5Zr0.5O2 thin films integrated with Si(001) using SrTiO3 templates
Written by albert on . Posted in News.
J. Lyu, I. Fina, R. Bachelet, G. Saint-Girons, S. Estandıa, J. Gazquez, J. Fontcuberta, and F. Sanchez
Appl. Phys. Lett. 114, 222901 (2019)
ABSTRACT
Towards oxide electronics: A roadmap
Written by albert on . Posted in News.
Guest editors: M. Coll, J. Fontcuberta, N. Pryds and F. Miletto Granozio.
Applied Surface Science, 482, 1-93 (2019)
doi.org/10.1016/j.apsusc.2019.03.312
ABSTRACT
At the end of a rush lasting over half a century, in which CMOS technology has been experiencing a constant and breathtaking increase of device speed and density, Moore’s law is approaching the insurmountable barrier given by the ultimate atomic nature of matter. A major challenge for 21st century scientists is finding novel strategies, concepts and materials for replacing silicon-based CMOS semiconductor technologies and guaranteeing a continued and steady technological progress in next decades. Among the materials classes candidate to contribute to this momentous challenge, oxide films and heterostructures are a particularly appealing hunting ground. The vastity, intended in pure chemical terms, of this class of compounds, the complexity of their correlated behaviour, and the wealth of functional properties they display, has already made these systems the subject of choice, worldwide, of a strongly networked, dynamic and interdisciplinary research community.
Oxide science and technology has been the target of a wide four-year project, named Towards Oxide-Based Electronics (TO-BE), that has been recently running in Europe and has involved as participants several hundred scientists from 29 EU countries. In this review and perspective paper, published as a final deliverable of the TO-BE Action, the opportunities of oxides as future electronic materials for Information and Communication Technologies ICT and Energy are discussed. The paper is organized as a set of contributions, all selected and ordered as individual building blocks of a wider general scheme. After a brief preface by the editors and an introductory contribution, two sections follow. The first is mainly devoted to providing a perspective on the latest theoretical and experimental methods that are employed to investigate oxides and to produce oxide-based films, heterostructuresand devices. In the second, all contributions are dedicated to different specific fields of applications of oxide thin films and heterostructures, in sectors as data storage and computing, optics and plasmonics, magnonics, energy conversion and harvesting, and power electronics.
Multiple magnetic droplet soliton modes
Written by albert on . Posted in News.
Nahuel Statuto, Christian Hahn, Joan Manel Hernàndez, Andrew D. Kent, and Ferran Macià
PHYSICAL REVIEW B 99, 174436 (2019)
DOI: 10.1103/PhysRevB.99.174436
ABSTRACT
Droplet solitons are large amplitude localized spin-wave excitations that can be created in magnetic thin films with uniaxial anisotropy by a spin-polarized current flowing through an electrical nanocontact. Here, we report a low-temperature (4 K) experimental study that shows there are multiple and, under certain conditions, combinations of droplet modes, each mode with a distinct high-frequency spin precession (tens of gigahertz). Low-frequency (≲1GHz) voltage noise is used to assess the stability of droplet modes. It is found that droplets are stable only in a limited range of applied field and current, typically near the current and field at which they nucleate, in agreement with recent predictions. Applied fields in the film plane favor multiple droplet modes, whereas fields perpendicular to the film plane tend to stabilize a single droplet mode. Micromagnetic simulations are used to show that spatial variation in the energy landscape in the nanocontact region (e.g., spatial variation of magnetic anisotropy or magnetic field) can lead to quantized droplet modes and low-frequency mode modulation, characteristics observed in our experiments.
Thanks to MIT-SPAIN “la Caixa” Foundation SEED FUND, Stephen Filippone from MIT is studying the photovoltaic response of Chalcogenide materials at MULFOX with Ignasi Fina from 24.05 to 04.06.2019
Written by albert on . Posted in News.

edf
Gap suppression at a Lifshitz transition in a multi-condensate superconductor
Written by albert on . Posted in News.
G. Singh, A. Jouan, G. Herranz, M. Scigaj, F. Sánchez, L. Benfatto, S. Caprara, M. Grilli, G. Saiz, F. Couëdo, C. Feuillet-Palma, J. Lesueur & N. Bergeal
Nature Materials, 18, 948 – 954 (2019)
Doi: 10.1038/s41563-019-0354-z
ABSTRACT
In multi-orbital materials, superconductivity can exhibit several coupled condensates. In this context, quantum confinement in two-dimensional superconducting oxide interfaces offers new degrees of freedom to engineer the band structure and selectively control the occupancy of 3d orbitals by electrostatic doping. Here, we use resonant microwave transport to extract the superfluid stiffness of the (110)-oriented LaAlO3/SrTiO3 interface in the entire phase diagram. We provide evidence of a transition from single-condensate to two-condensate superconductivity driven by continuous and reversible electrostatic doping, which we relate to the Lifshitz transition between 3d bands based on numerical simulations of the quantum well. We find that the superconducting gap is suppressed while the second band is populated, challenging Bardeen–Cooper–Schrieffer theory. We ascribe this behaviour to the existence of superconducting order parameters with opposite signs in the two condensates due to repulsive coupling. Our findings offer an innovative perspective on the possibility to tune and control multiple-orbital physics in superconducting interfaces.
Nico Dix.
Written by albert on . Posted in Former Members, News.
- PhD 2006 -2010.
- Post-Doc contract to work on Thin film growth by PLD and characterization (15/11/2018 – 15/11/2019).
Tingfeng Song
Written by albert on . Posted in Former Members.
Working on ferroelectric thin films under the supervision of Dr. Florencio Sánchez. Starting on 15/11/2018
Topochemical nitridation of Sr2FeMoO6
Written by albert on . Posted in News.
Roberta Ceravola, Carlos Frontera, Judith Oro ́-Solé, Ashley P. Black, Clemens Ritter, Ignasi Mata, Elies Molins, Josep Fontcuberta* and Amparo Fuertes
Chem.Commun. 55, 3105 (2019)
ABSTRACT
The topotactic nitridation of cation ordered, tetragonal Sr2FeMoO6 in NH3 at moderate temperatures leads to cubic, Fm
m double perovskite oxynitride Sr2FeMoO4.9N1.1 where double-exchange interactions determine ferromagnetic order with TC ≈ 100 K. Substitution of oxide by nitride induces bond asymmetries and local electronically driven structural distortions, which combined with Fermi level lowering restricts charge itinerancy to confined regions and preclude spontaneous long-range magnetic order. Under a magnetic field, ferromagnetic correlations expand, favoring charge delocalization and a negative magnetoresistance is observed.
Disclosing odd symmetry, strain driven magnetic response of Co on Pt/PMN-PT (011)
Written by albert on . Posted in News.
Michael Foerster, Ignasi Fina, Simone Finizio, BlaiCasals, AniaMandziak, FrancoisFauthand Lucia Aballe
J. Phys.: Condens. Matter 31 084003 (2019)
ABSTRACT
An odd-symmetry magnetic response of multiferroic composites comprising ultrathin Co layers on Pt electrodes on [Pb(Mg0.33Nb0.67)O3](1−x)[PbTiO3] x (PMN-PT) (0 1 1) piezoelectric substrates is observed upon electrical poling of the PMN-PT substrates: the magnetic easy axis of the Co rotates by 90° in-plane between oppositely poled ferroelectric states, mimicking the signature of a surface polarization charge driven effect, which however can be excluded from the presence of the thick Pt interlayer. The origin for this unexpected behavior is as an odd symmetry piezoelectric response of the PMN-PT substrate, as indicated by x-ray diffraction with applied poling, in combination with conventional magnetoelastic coupling. Ferroelectric characterization reveals corresponding features, possibly related to an unswitchable polarization component.
High Carrier Mobility, Electrical Conductivity, and Optical Transmittance in Epitaxial SrVO3 Thin Films
Written by albert on . Posted in News.
Mathieu Mirjolet, Florencio Sánchez, and Josep Fontcuberta
Adv. Funct. Materials, 29, 1808432 (2019)
https://doi.org/10.1002/adfm.201808432
ABSTRACT
The urgent need for more performant transparent conducting electrodes is stimulating intensive research on oxide thin films based on early transition metals (e.g., V, Nb, Mo, etc.), where it is expected that the partially occupied (i.e., nd1, nd2…) conduction band will give rise to metallic conductivity. Growing thin films of these oxides typically requires an extremely low oxygen pressure. However, in growth methods involving hyperthermal kinetics (such as pulsed laser deposition), this may have severe detrimental effects on the electrical and optical properties of the film. Here, it is shown that the use of a nonreactive gas during a pulsed laser deposition process allows epitaxial SrVO3 films to be obtained with low room temperature resistivity (ρ ≈ 31 μΩ cm), large carrier mobility (μ ≈ 8.3 cm2V−1 s−1), and large residual resistivity ratio (RRR ≈ 11.5), while improving optical transparency in the visible range. It is argued that the success of this growth strategy relies on the modulation of energetics of plasma species and a concomitant reduction of defects in the films. These findings may find applications in other oxide‐based thin film technologies (i.e., ferroelectric tunnel memories, etc.) where growth‐induced point effects may compromise functionality.
Complementary Resistive Switching Using Metal–Ferroelectric–Metal Tunnel Junctions
Written by albert on . Posted in News.
Mengdi Qian, Ignasi Fina, Florencio Sánchez, Josep Fontcuberta
Small 15, 1805042 (2019)
ABSTRACT
Complementary resistive switching (CRS) devices are receiving attention because they can potentially solve the current‐sneak and current‐leakage problems of memory arrays based on resistive switching (RS) elements. It is shown here that a simple anti‐serial connection of two ferroelectric tunnel junctions, based on BaTiO3, with symmetric top metallic electrodes and a common, floating bottom nanometric film electrode, constitute a CRS memory element. It allows nonvolatile storage of binary states (“1” = “HRS+LRS” and “0” = “LRS+HRS”), where HRS (LRS) indicate the high (low) resistance state of each ferroelectric tunnel junction. Remarkably, these states have an identical and large resistance in the remanent state, characteristic of CRS. Here, protocols for writing information are reported and it is shown that non‐destructive or destructive reading schemes can be chosen by selecting the appropriate reading voltage amplitude. Moreover, this dual‐tunnel device has a significantly lower power consumption than a single ferroelectric tunnel junction to perform writing/reading functions, as is experimentally demonstrated. These findings illustrate that the recent impressive development of ferroelectric tunnel junctions can be further exploited to contribute to solving critical bottlenecks in data storage and logic functions implemented using RS elements.
Rafael Cichelero
Written by albert on . Posted in Former Members.
Rafael Cichelero, degree in Physics and Master in Physics from Universidade Federaldo Rio Grandedo Sul (Brazil).
At ICMAB has joined the Laboratory of Magnetic Materials and Funcitions Oxides, to take a PhD Degree under the supervision of Dr. Gervasi Herranz (2015 – 2019).
Rafael Cicelero succesfully defended (25/01/2019) his Phd work “Diffractive multifunctional plasmonic systems” Congratulations.
Written by albert on . Posted in News.

Epitaxial Integration on Si(001) of Ferroelectric Hf0.5Zr0.5O2 Capacitors with High Retention and Endurance
Written by albert on . Posted in News.
Jike Lyu, Ignasi Fina, Josep Fontcuberta, and Florencio Sanchez
ACS Appl. Mater. Interfaces, 11 (6), 6224 – 6229 (2019)
https://pubs.acs.org/doi/10.1021/acsami.8b18762
ABSTRACT
Epitaxial ferroelectric Hf0.5Zr0.5O2 films have been successfully integrated in a capacitor heterostructure on Si(001). The orthorhombic Hf0.5Zr0.5O2phase, [111] out-of-plane oriented, is stabilized in the films. The films present high remnant polarization Pr close to 20 μC/cm2, rivaling with equivalent epitaxial films on single crystalline oxide substrates. Retention time is longer than 10 years for a writing field of around 5 MV/cm, and the capacitors show endurance up to 109 cycles for a writing voltage of around 4 MV/cm. It is found that the formation of the orthorhombic ferroelectric phase depends critically on the bottom electrode, being achieved on La0.67Sr0.33MnO3 but not on LaNiO3. The demonstration of excellent ferroelectric properties in epitaxial films of Hf0.5Zr0.5O2 on Si(001) is relevant toward fabrication of devices that require homogeneity in the nanometer scale, as well as for better understanding of the intrinsic properties of this promising ferroelectric oxide.
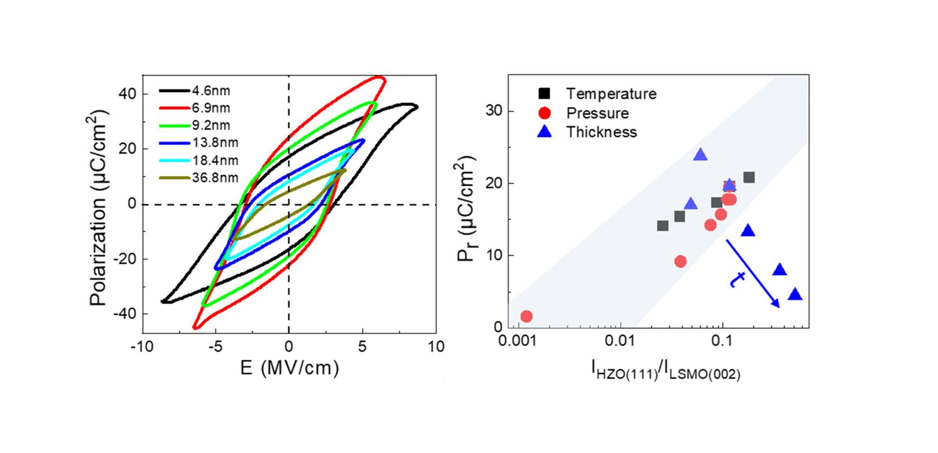
The Growth Window of Ferroelectric Epitaxial Hf0.5Zr0.5O2 Thin Films
Written by albert on . Posted in News.
Jike Lyu, Ignasi Fina, Raul Solanas, Josep Fontcuberta, and Florencio Sanchez.
ACS Appl. Electron. Mater. 1 (2), 220 – 228 (2019)
https://pubs.acs.org/doi/10.1021/acsaelm.8b00065
ABSTRACT
The metastable orthorhombic phase of hafnia is generally obtained in polycrystalline films, whereas in epitaxial films, its formation has been much less investigated. We have grown Hf0.5Zr0.5O2 films by pulsed laser deposition, and the growth window (temperature and oxygen pressure during deposition and film thickness) for epitaxial stabilization of the ferroelectric phase is mapped. The remnant ferroelectric polarization, up to ∼24 μC/cm2, depends on the amount of orthorhombic phase and interplanar spacing and increases with temperature and pressure for a fixed film thickness. The leakage current decreases with an increase in thickness or temperature, or when decreasing oxygen pressure. The coercive electric field (EC) depends on thickness (t) according to the EC – t–2/3 scaling, which is observed for the first time in ferroelectric hafnia, and the scaling extends to thicknesses down to around 5 nm. The proven ability to tailor the functional properties of high-quality epitaxial ferroelectric Hf0.5Zr0.5O2 films paves the way toward understanding their ferroelectric properties and prototyping devices.
Non-reciprocal diffraction in magnetoplasmonic gratings
Written by albert on . Posted in News.
R. Cichelero, M. Kataja, M. Campoy-Quiles, and G. Herranz.
Optics Express, 26, Issue 26, 34842 – 34852 (2018)
https://doi.org/10.1364/OE.26.034842
ABSTRACT
Phase-matching conditions—used to bridge the wave vector mismatch between light and surface plasmon polaritons (SPPs)—have been exploited recently to enable nonreciprocal optical propagation and enhanced magneto-optic responses in magnetoplasmonic systems. Here we show that using diffraction in conjunction with plasmon excitations leads to a photonic system with a more versatile and flexible response. As a testbed, we analyzed diffracted magneto-optical effects in magnetoplasmonic gratings, where broken time-reversal symmetry induces frequency shifts in the energy and angular spectra of plasmon resonance. These result in exceptionally large responses in the diffracted magneto-optical effect. The concepts presented here can be used to develop non-reciprocal optical devices that exploit diffraction, in order to achieve tailored electromagnetic responses.
Unexpected large transverse magneto-optic Kerr effect at quasi-normal incidence in magnetoplasmonic crystals
Written by albert on . Posted in News.
R. Cichelero, M.A. Oskuei, M. Kataja, S.M. Hamidi, G. Herranz.
Journal of Magnetism and Magnetic Materials 476, 54 – 58 (2019)
https://doi.org/10.1016/j.jmmm.2018.12.036
ABSTRACT
We investigate the transverse magneto-optic Kerr effect (TMOKE) of magnetoplasmonic crystals grown on top of commercial optical disks. From full angle-resolved scans we can identify Wood’s anomalies related to the excitation of plasmons of different orders. From these maps we also detect a wide range of wavelengths and angles of incidence for which the TMOKE signal is increased due to the interaction of light with surface propagating plasmons. Remarkably, conditions are established for unexpectedly large responses at quasi-normal incidence, where, by fundamental symmetry reasons, the intrinsic TMOKE should be vanishingly small. The key towards this unexpected outcome is to engineer the geometry of magnetoplasmonic crystals, so that first-order plasmon dispersion lines run up towards quasi-normal angles of incidence. These results provide general rules for magneto-optic enhancement and, in particular, show the potential of standard commercial disks as platforms for enhanced magneto-optic devices.
2019
Written by albert on . Posted in Publications.
Giant topological Hall effect in correlated oxide thin films
L Vistoli, W Wang, A Sander, Q Zhu, B Casals, R Cichelero, A Barthélémy, S Fusil, G Herranz, S Valencia, R Abrudan, E Weschke, K Nakazawa, H Kohno, J Santamaria, W Wu, V Garcia & M Bibes
Nature Physics 15, 67–72 (2019)
Asymmetric Resistive Switching Dynamics in BaTiO3 Tunnel Junctions
M Qian, I Fina, F Sánchez, and J Fontcuberta
Adv. Electron.Mater. 5, 1800407 (2019)
Quantification of propagating and standing surface acoustic waves by stroboscopic X-ray photoemission electron microscopy
M. Foerster, N. Statuto, B. Casals, A. Hernández-Mínguez, S. Finizio, A. Mandziak, L. Aballe, J. M. Hernàndez Ferràs and F. Macià
Journal of Synchrotron Radiation, 26, 184-193 (2019)
The Growth Window of Ferroelectric Epitaxial Hf0.5Zr0.5O2 Thin Films
J. Lyu, I. Fina, R. Solanas, J. Fontcuberta, and F. Sanchez
ACS Appl. Electron. Mater. 1 (2), 220–228 (2019)
Epitaxial Integration on Si(001) of Ferroelectric Hf0.5Zr0.5O2 Capacitors with High Retention and Endurance
J. Lyu, I. Fina, J. Fontcuberta, F. Sanchez
ACS Appl. Mater. Interfaces, 11 (6), 6224–6229 (2019)
Complementary Resistive Switching Using Metal–Ferroelectric–Metal Tunnel Junctions
M. Qian, I. Fina, F. Sánchez, J. Fontcuberta
Small, 15, 1805042 (2019)
High Carrier Mobility, Electrical Conductivity, and Optical Transmittance in Epitaxial SrVO3 Thin Films
M. Mirjolet, F. Sánchez, J. Fontcuberta
Adv. Funct. Materials, 1808432 (2019)
Disclosing odd symmetry, strain driven magnetic response of Co on Pt/PMN-PT (011)
M. Foerster, I. Fina, S. Finizio, B. Casals, A. Mandziak, F. Fauthand, L. Aballe
J. Phys.: Condens. Matter. 31, 084003 (2019)
Topochemical nitridation of Sr2FeMoO6
R. Ceravola, C. Frontera, J. Oro ́-Solé, A. P. Black, C. Ritter, I. Mata, E. Molins, J. Fontcuberta and A. Fuertes
Chem. Commun. 55, 3105 (2019)
Gap suppression at a Lifshitz transition in a multi-condensate superconductor
G. Singh, A. Jouan, G. Herranz, M. Scigaj, F. Sánchez, L. Benfatto, S. Caprara, M. Grilli, G. Saiz, F. Couëdo, C. Feuillet-Palma, J. Lesueur & N. Bergeal
Nature Materials, 18, 948 – 954 (2019)
Multiple magnetic droplet soliton modes
N. Statuto, C. Hahn, J. M. Hernàndez, A. D. Kent, and F. Macià
PHYSICAL REVIEW B 99, 174436 (2019)
Towards Oxide Electronics: a Roadmap
M. Coll, J. Fontcuberta, M. Althammer, M. Bibes, H. Boschker, A. Calleja, G. Cheng, M. Cuoco, R. Dittmann, B. Dkhil, I. El Baggari, M. Fanciulli, I. Fina, E. Fortunato, C. Frontera, S. Fujita, V. Garcia, S.T.B. Goennenwein, C.-G. Granqvist, J. Grollier, R. Gross, A. Hagfeldt, G. Herranz, K. Hono, E. Houwman, M. Huijben, A. Kalaboukhov, D.J. Keeblea, G. Koster, L.F. Kourkoutis, J. Levy, M. Lira-Cantu, J.L. MacManus-Driscoll, Jochen Mannhart, R. Martins, S. Menzel, T. Mikolajick, M. Napari, M.D. Nguyen, G. Niklasson, C. Paillardah, S. Panigrahi, G. Rijnders, F. Sánchez, P. Sanchis, S. Sanna, D.G. Schlom, U. Schroeder, K.M. Shen, A. Siemon, M. Spreitzer, H. Sukegawa, R. Tamayo, J. van den Brink, N. Pryds, F. Miletto Granozio
Applied Surface Science, 482, 1–93 (2019)
Guest editors: M. Coll, J. Fontcuberta, N. Pryds and F. Miletto Granozio
Enhanced ferroelectricity in epitaxial Hf0.5Zr0.5O2 thin films integrated with Si(001) using SrTiO3 templates
J. Lyu, I. Fina, R. Bachelet, G. Saint-Girons, S. Estandıa, J. Gazquez, J. Fontcuberta, F. Sanchez
Appl. Phys. Lett. 114, 222901 (2019)
Plasticity of Persistent Photoconductance of Amorphous LaAlO3/SrTiO3 Interfaces under Varying Illumination Conditions.
Y. Chen, B. Casals, G. Herranz
ACS Appl. Electron. Mater. 1, 810-816 (2019)
Engineering Ferroelectric Hf0.5Zr0.5O2 Thin Films by Epitaxial Stress
S. Estandía, N. Dix, J. Gazquez, I. Fina, J. Lyu, M. F. Chisholm, J. Fontcuberta, F. Sánchez
ACS Applied Electronic Materials, 1, 8, 1449-1457 (2019)
On the Role of Interfaces on Spin Transport in Magnetic Insulator/Normal Metal Heterostructures
J. Fontcuberta,H. B. Vasili, J. Gàzquez, F. Casanova
Adv. Mater. Interfaces, 1900475 (2019)
Solid-State Synapses Modulated by Wavelength-Sensitive Temporal Correlations in Optic Sensory Inputs
Y. Chen, B. Casals, F. Sánchez, G. Herranz
ACS Appl. Electron. Mater. 1, 7, 1189-1197 (2019)
Independent Tuning of Optical Transparency Window and Electrical Properties of Epitaxial SrVO3 Thin Films by Substrate Mismatch
M. Mirjolet, H. B. Vasili, L. López-Conesa, S. Estradé, F. Peiró, J. Santiso, F. Sánchez, P. Machado, P. Gargiani, M. Valvidares, J. Fontcuberta
Adv. Funct. Mater. 1904238 (2019)
Synergetic Electronic and Ionic Contributions to Electroresistance in Ferroelectric Capacitors
M. Qian, I. Fina, M. Cervo Sulzbach, F. Sánchez, J. Fontcuberta
Advanced Electronic Materials 5, 3 , 1800646 (2019)
Direct Reversible Magnetoelectric Coupling in a Ferroelectric/Ferromagnetic Structure Controlled by Series Resistance Engineering
S. González-Casal, I. Fina, F. Sánchez, J. Fontcuberta
ACS Appl. Electron. Mater. 2019191937-1944 (2019)
Strain and voltage control of magnetic and electric properties of FeRh films
I. Fina, J. Fontcuberta
Journal of Physics D: Applied Physics, 53, 2 (2019)
Unraveling Ferroelectric Polarization and Ionic Contributions to Electroresistance in Epitaxial Hf0.5Zr0.5O2 Tunnel Junctions
M. Cervo Sulzbach, S. Estandía, X. Long, J. Lyu, N. Dix, J. Gàzquez, M. F. Chisholm, F. Sánchez, I. Fina, J. Fontcuberta
Adv. Electron. Mater. 1900852 (2019)
Electric-field-induced avalanches and glassiness of mobile ferroelastic twin domains in cryogenic SrTi O 3
B. Casals, S. van Dijken, G. Herranz, E. K. H. Salje
Phys. Rev. Research 1, 032025(R) (2019)
Spectral and Angle-Resolved Magneto-Optical Characterization of Photonic Nanostructures.
R. Cichelero; M. Kataja; G. Herranz
J. Vis. Exp. (153), e60094, doi:10.3791/60094 (2019)
Optical isolation in magnetoplasmonic diffraction gratings
R. Cichelero; M. Kataja; G. Herranz
Proceedings of SPIE, Volume 11090, Spintronics XII; 1109039 (2019)
Electronic and structural reconstructions of the polar (111) SrTiO3 surface.
X. Torrelles, G. Cantele, G. M. De Luca, R. Di Capua, J. Drnec, R. Felici, D. Ninno, G. Herranz, and M. Salluzzo.
Phys. Rev. B. 99, 205421 (2019)
Rotational Polarization Nanotopologies in BaTiO3/SrTiO3 Superlattices
S. Estandía, F. Sánchez, M.F. Chisholm, J. Gazquez
Nanoscale, 11, 21275 (2019)
Disentangling Highly Asymmetric Magnetoelectric Effects in Engineered Multiferroic Heterostructures .
E. Menéndez, V. Sireus, A. Quintana, I. Fina, B. Casals, R. Cichelero, M. Kataja, M. Stengel, G. Herranz, G. Catalán, M. D. Baró, S. Suriñach, and J. Sort.
Phys. Rev. Applied 12, 014041 (2019).
Vehicle Classification System Based on Ferroelectric Materials
I Fina, X Martí, G Catalan
2019 IEEE International Symposium on Applications of Ferroelectrics (ISAF), Lausanne, Switzerland, 1-4, (2019)
Band Gap Tuning of Solution-Processed Ferroelectric Perovskite BiFe1–xCoxO3 Thin Films
P. Machado, M. Scigaj, J. Gazquez, E. Rueda, A. Sánchez-Díaz, I. Fina, M. Gibert-Roca, T. Puig, X. Obradors, M. Campoy-Quiles, and M. Coll
Chemistry of Materials 31 (3), 947-954 (2019)
Quantification of propagating and standing surface acoustic waves by stroboscopic X-ray photoemission electron microscopy
Written by albert on . Posted in News.
Michael Foerster, Nahuel Statuto, Blai Casals, Alberto Hernández-Mínguez, Simone Finizio, Ania Mandziak, Lucia Aballe, Joan Manel Hernàndez Ferràs and Ferran Macià
Journal of Synchrotron Radiation, 26, 184 – 193 (2019)
ABSTRACT
The quantification of surface acoustic waves (SAWs) in LiNbO3 piezoelectric crystals by stroboscopic X-ray photoemission electron microscopy (XPEEM), with a temporal smearing below 80 ps and a spatial resolution below 100 nm, is reported. The contrast mechanism is the varying piezoelectric surface potential associated with the SAW phase. Thus, kinetic energy spectra of photoemitted secondary electrons measure directly the SAW electrical amplitude and allow for the quantification of the associated strain. The stroboscopic imaging combined with a deliberate detuning allows resolving and quantifying the respective standing and propagating components of SAWs from a superposition of waves. Furthermore, standing-wave components can also be imaged by low-energy electron microscopy (LEEM). Our method opens the door to studies that quantitatively correlate SAWs excitation with a variety of sample electronic, magnetic and chemical properties.
Mengdi Qian
Written by albert on . Posted in Former Members.
Mengdi Qian from Sichuan University, has joined our group to do a PhD Thesis (2014 – 2018).
Josep Fontcuberta. Lecture on “Les nanotecnologies a la societat de la Informació” a Aula Extensió Universitaria de Caldes
Written by albert on . Posted in Outreach.

Josep Fontcuberta. Lecture on “Les nanotecnologies a la societat de la Informació” a Aula Extensió Universitaria de Caldes. Caldes de Montbui, 21.11.2018
Asymmetric Resistive Switching Dynamics in BaTiO3 Tunnel Junctions
Written by albert on . Posted in News.
M. Qian, I. Fina, F. Sánchez, and J. Fontcuberta
Adv. Electron. Mater. 5, 1800407, 2019
ABSTRACT
The resistive switching associated with polarization reversal is studied in detail in ferroelectric BaTiO3 tunnel junctions, with focus on the dynamics of the ferroelectric domain switching. It is observed that the transition between the high‐resistance state (HRS) and the low‐resistance state (LRS) is largely asymmetric being smooth from LRS to HRS, but proceeds via avalanches in the HRS‐to‐LRS transitions. It is shown that this distinct behavior is related to the presence of an imprint field in the junction and has important consequences on the junction’s performance.
Mengdi Qian succesfully defended her PhD work on Resistive switching in nanometric BaTiO3 ferroelectric junctions, (16-11-18). A new Doctor from MULFOX. Congratulations, Mengdi.
Written by albert on . Posted in News.

Josep Fontcuberta. Lecture on “Les nanotecnologies a la societat de la Informació” a Aula Extensió Universitaria de Caldes. Caldes de Montbui, 21.11.2018
Written by albert on . Posted in News.

Josep Fontcuberta. Lecturing for broad audience on “The Magnetism of Magnets” at EXPOMINER 2018 (Barcelona) (10-11-2018)
Written by albert on . Posted in News.

Giant topological Hall effect in correlated oxide thin films
Written by albert on . Posted in News.
L Vistoli, W Wang, A Sander, Q Zhu, B Casals, R Cichelero, A Barthélémy, S Fusil, G Herranz, S Valencia, R Abrudan, E Weschke, K Nakazawa, H Kohno, J Santamaria, W Wu, V Garcia & M Bibes
Nature Physics 15, 67 – 72 (2019)
https://doi.org/10.1038/s41567-018-0307-5
ABSTRACT
Strong electronic correlations can produce remarkable phenomena such as metal–insulator transitions and greatly enhance superconductivity, thermoelectricity or optical nonlinearity. In correlated systems, spatially varying charge textures also amplify magnetoelectric effects or electroresistance in mesostructures. However, how spatially varying spin textures may influence electron transport in the presence of correlations remains unclear. Here we demonstrate a very large topological Hall effect (THE) in thin films of a lightly electron-doped charge-transfer insulator, (Ca,Ce)MnO3. Magnetic force microscopy reveals the presence of magnetic bubbles, whose density as a function of magnetic field peaks near the THE maximum. The THE critically depends on carrier concentration and diverges at low doping, near the metal–insulator transition. We discuss the strong amplification of the THE by correlation effects and give perspectives for its non-volatile control by electric fields.
Subnanosecond magnetization dynamics driven by strain waves
Written by albert on . Posted in News.
M. Foerster , L. Aballe , J. M. Hernàndez , and F. Macià
MRS BULLETIN , volume 43, (2018)
Josep Fontcuberta. Lecturing for broad audience on “The Magnetism of Magnets” at EXPOMINER 2018
Written by albert on . Posted in Outreach.

Josep Fontcuberta. Lecturing for broad audience on “The Magnetism of Magnets” at EXPOMINER 2018 (Barcelona) (10-11-2018)
Reversible and magnetically unassisted voltage-driven switching of magnetization in FeRh/PMN-PT
Written by albert on . Posted in News.
I. Fina, A. Quintana, X. Martí, F. Sánchez, M. Foerster, L. Aballe, J. Sort, and
Josep Fontcuberta
Applied Physics Letters 113, 152901 (2018)
Yunwei Sheng
Written by albert on . Posted in Former Members.
Yunwei Sheng joint our team and initiate their PhD work on October 1st, 2018. Welcome !
Hello, I am Yunwei Sheng, from China University of Geosciences. Now I have joined the group of Multifunctional Oxides and Complex Structures to do my PhD work on ferroelectric films.
See you around!
Xiao Long
Written by albert on . Posted in Former Members.
Xiao Long joints our team and initiate their PhD work on October 5th, 2018. Welcome!
Hello, I am Xiao Long, from Shanghai University. Now I have joined the group of Multifunctional Oxides and Complex Structures to do my PhD work on ferroelectric films.
See you around!
Gervasi Herranz delivers a lecture on “In-situ imaging of electric field-induced ferroelastic domain motion in SrTiO3” at the International Workshop on Oxide Electronics, WOE-2018, October 2018
Written by albert on . Posted in News.

Saul Estandia presents on “Imaging Polarization Topologies in BaTiO3/SrTiO3 Superlattices” at the International Workshop on Oxide Electronics, WOE-2018, October 2018
Written by albert on . Posted in News.

Mathieu Mirjolet presents on “Misfit controlled electrical conductivity and simultaneous optimization of carrier density and mobility in transparent metallic 3d oxide films” at the International Workshop on Oxide Electronics, WOE-2018, October 2018
Written by albert on . Posted in News.

Milena Sulzbach presents on “Thermionic Field Emission in back-to-back BaTiO3-based Schottky interfaces” at the International Workshop on Oxide Electronics, WOE-2018, October 2018
Written by albert on . Posted in News.

Nit Jove de la Recerca a CosmoCaixa. Josep Fontcuberta participa al Scientific Corner
Written by albert on . Posted in Outreach.
Nit Jove de la Recerca a CosmoCaixa. Josep Fontcuberta participa al Scientific Corner, el divendres 28 de setembre, a partir de 21:30h amb una xerrada sobre “Electrons i espins: una parella més eficient si està trencada”
Nit Jove de la Recerca a CosmoCaixa. Josep Fontcuberta participa al Scientific Corner, el divendres 28 de setembre, a partir de 21:30h amb una xerrada sobre “Electrons i espins: una parella més eficient si està trencada”
Written by albert on . Posted in News.

ICMAB PhD Programme Severo Ochoa fellowships 2018-2019
Written by albert on . Posted in Job offers.
Within the Severo Ochoa programme, 4 PhD fellowships are offered by the ICMAB-CSIC for the academic year 2018-2019.
DEADLINE FOR APPLICATION: 11 OCTOBER 2018
ICMAB-CSIC is an internationally renowned public research institute in Advanced Functional Materials integrated in the National Research Council of Spain (CSIC). The mission of ICMAB is to generate new knowledge in Materials Science through excellent scientific research useful for society and industry.ICMAB has 60 permanent and 90 non-permanent scientists and more than 220 people divided in eight Research Groups. The center has outstanding international competitiveness, with a large number of high impact articles and citations and European research projects participation (9 ERC grants at present), with the strongest international leadership position in the specific domains of Functional molecular, supramolecular and oxide materials. The center has been awarded with the label of Center of Excellence “Severo Ochoa” by the Spanish Ministry in 2016.
The Strategic Research Program includes five mission-oriented Research Lines to face three social grand-challenges: clean and secure energy, smart and sustainable electronics and smart nanomedicine. The strategic Research Lines are:
1/ Energy storage and conversion
2/ Superconductors for power applicaations
3/ Oxide electronics
4/ Molecular electronics
5/ Multifunctional nanostructured biomaterials
The ICMAB – CSIC is one of the top research institutions named as a Severo Ochoa Research Centre by the Ministry of Economy and Competitiveness (MINECO) in charge of research and innovation policy in Spain, which recognizes excellence at the highest international level in terms of research, training, human resources, outreach and technology transfer. The Severo Ochoa award provides 4 M€ over 2016-2019 to implement ICMAB’s Research and Human Resources Programmes.
http://icmab.es/icmab-phd-programme-severo-ochoa-fellowships-2018-2019
Lingfei WANG from Institute for Basic Science (IBS) Seoul National University (South Corea)) visits MULFOX and delivers a Lecture on “Ferroelectrically tunable magnetic skyrmions in ultrathin oxide heterostructures” Friday 28th September 2018
Written by albert on . Posted in News, Visitors.

Dr. Can Onur Avci from ETH Zürich, Switzerland, visits MULFOX and delivers a lecture on “Towards spin-based memory and logic: fundamentals and applications” Tuesday, 25 September 2018 @ 12 pm ICMAB – Sala d’Actes Carles Miravitlles
Written by albert on . Posted in News, Visitors.

Oferta treballs de Final de Grau per a estudiants Física, Física+ Matemàtiques, Física + Química de la Universitat Autònoma de Barcelona. Curs 2018-2019
Written by albert on . Posted in Job offers, News.
“Artificial sensory neuron networks excited by optical stimuli”
G. Herranz
Breu descripció dels objectius (Brief description of the objectives):
We study the photoconductive properties of some quantum wells (QWs), whereby the system changes its conductance in a plastic way, retaining memory from its past history, using light as stimulus. We are investigating this phenomenon to replicate in a solid-state system the synaptic plasticity observed in biological neuronal systems.
Breu descripció de la metodologia (Brief description of the methodology):
The candidate will have access to our optical laboratory, which includes high-resolution microscopy using wavelengths in the visible, with accurate control of irradiance and optical stimuli controlled to timescales down the microsecond. The laboratory has deep expertise in magnetotransport and optical characterization of quantum wells. The candidate will benefit also from training in the use of Python-based algorithms to model neural networks.
“Nanophotonics: metamaterials and topological structures”
G. Herranz
Breu descripció dels objectius (Brief description of the objectives):
Robust propagation of spatially confined electromagnetic waves is indispensable for the development of on-chip optical communications in photonic circuitry. With this in mind, we investigate approaches based on special topologies in the wavevector space that can enable propagation of helical edge propagation of modes that flow unimpeded by imperfections or back-reflections.
Breu descripció de la metodologia (Brief description of the methodology):
The candidate will have access to our optical laboratory, which includes high-resolution microscopy and angle-resolved spectroscopy in the near-IR-VIS range. In particular, he/she will be acquainted with angle-resolved reflectance/transmission spectroscopy, which can resolve w-k reciprocal space maps from near-IR to violet, with scanning beam sizes down to few microns. This methodology enables the direct visualization photonic/plasmonic states, including edge states. The candidate may also benefit also from training in the use finite-difference time-domain calculations to explore topologically nontrivial photonic crystal lattices.
“Neuromorphic computing with ferroelectric materials”
I. Fina.
Neurons in the brain process and store information in a way that radically differs from conventional computers. Although algorithms are being developed to emulate brain functioning, this is only (marginaly) achieved at expense of unacceptable energy consumption. Ferroelectric tunnel devices appear as a potential candidate to replicate neuromorphic functions. The candidate will join a team working on this direction.
To get the responsibility of this cutting edge project, we are looking for candidates finishing a degree on physics, materials science, electrical or related areas, and having excellent academic records. We search for a candidate with strong scientific curiosity and highly motivated to join a very stimulating project of potentially large social impact. Skills in communication, including fluent English, are required.
“Study of ferroelectric materials for applications in photovoltaics”
I. Fina
The proposed TFG will carefully analyze the photoelectric response of ferroelectric junction under different conditions using state-of-the-art characterization devices. The student will get wide experience on dielectric and photoelectric characterization, not only required for technological perspectives like the one proposed for his/her TFG, also required for emerging technological areas such as solar cells.
The candidate is expected to be enthusiastic on experimental physics. He/she will have access to our advanced electrical characterization laboratory, which includes optical excitation tools. The candidate will follow an intensive training, so as to ensure a solid understanding of the techniques that enable to understand the interplay between light ant ferroelectricity.
“Characterization of antiferromagnetic/ferromagnetic materials for memory applications”
I. Fina
The TFG involves the characterization of antiferromagnetic materials using microscopic proximity techniques. Antiferromagnetic materials can show the ability to store magnetic information at the same time that they can make it invisible. These effects will be those that the TFG will investigate in micro-/nano-patterned device structures.
Enthusiasm about applied and experimental physics, and interest to develop skills on characterization, reporting, communication, etc.
“New epitaxial ferroelectric materials in thin film form”
I. Fina
Ferroelectric materials are already used for a wide range of applications. However, industry defines new challenges for ferroelectric materials that well-known existing ferroelectric materials are not capable to solve. Thus, new ferroelectric materials are needed to be investigated. We propose to characterize novel ferroelectric materials in epitaxial form.
Enthusiasm about applied and experimental physics, and interest to develop skills on characterization, reporting, communication, etc.
2018
Written by albert on . Posted in Presentations.
REGULAR ORAL PRESENTATIONS
“Magnetoresistance in Pt/CoFe2O4 bilayers controlled by competing spin accumulation and interfacial chemical reconstructions”
J. Fontcuberta,
“Static and dynamic control of the orbital occupancy in LaNiO3”
J. Fontcuberta
International Conference on Magnetism (ICM 2018)
S. Francisco, 16 – 20 Julio 2018
“Nanoscience and Nanotechnology”
I. Fina
“Information and communication technologies”
I. Fina
Universitat Catalana d’Estiu (UCE)
Prada, 22 – 23 August 2018
“Electrons i espins: una parella més eficient si està trencada”
J. Fontcuberta
Nit Jove de la Recerca “Scientific Corner”
CosmoCaixa, 28 setembre 2018
“In-situ imaging of electric field-induced ferroelastic domain motion in SrTiO3”
G.Herranz
International Workshop on Oxide Electronics iWOE-2018
Les Diablerets, Switzerland. 1 – 3 October 2018
POSTER PRESENTATIONS
“Thermionic Field Emission in back-to-back BaTiO3-based Schottky interfaces”
M. Sulzbach
International Workshop on Oxide Electronics iWOE-2018
Les Diablerets, Switzerland. 1 – 3 October 2018
“Misfit controlled electrical conductivity and simultaneous optimization of carrier density and mobility in transparent metallic 3d oxide films”
M. Mirjolet
International Workshop on Oxide Electronics iWOE-2018
Les Diablerets, Switzerland. 1 – 3 October 2018Ç
“Imaging Polarization Topologies in BaTiO3/SrTiO3 Superlattices”
S. Estandia
International Workshop on Oxide Electronics iWOE-2018
Les Diablerets, Switzerland. 1 – 3 October 2018
2018
Written by albert on . Posted in Conferences.
INVITED CONFERENCES
“Multiferroic materials and heterostructures. A view towards applications”
J. Fontcuberta
MANEP 2018
Les Diablerets Swizerlad, 20-31 August, 2018
“Epitaxy of oxides on silicon”
F. Sanchez
3rd Autumn School on Physics of Advanced Materials, PAMS-3
Heraklion (Greece), 26 September, 2018
“Epitaxial stabilization of ferroelectric Hf0.5Zr0.5O2 thin films”
F. Sanchez
12th International Conference on Physics of Advanced Materials, ICPAM-12,
Heraklion (Greece), 23 September, 2018
“Lattice instabilities and functional properties of oxide perovskites”
G. Herranz
EMRS Fall Meeting 2018, Symposium P, Epitaxial oxide films for electronic applications
Warsaw, September 2018.
Gervasi Herranz delivers an Invited Talk on ” Lattice instabilities and functional properties of oxide perovskites” at Symposium P, Epitaxial oxide films for electronic applications; EMRS Fall Meeting 2018, Warsaw
Written by albert on . Posted in News.

F. Sanchez delivers an Invited Talk on ” Epitaxial stabilization of ferroelectric Hf0.5Zr0.5O2 thin films ” at the “12th International Conference on Physics of Advanced Materials, ICPAM-12, Heraklion (Greece), September 23, 2018
Written by albert on . Posted in News.

Selectable texture in epitaxial ferroelectric BaTiO3 films integrated with silicon
Written by albert on . Posted in News.
J. Lyu, I. Fina, R. Solanas, J. Fontcuberta and F. Sanchez
CrystEngComm (2018)
“Pep Fontcuberta delivers an Invited Lecture at MANEP 2018 (20-31 August; Les Diablerets Swizerlad) on “Multiferroic materials and heterostructures. A view towards applications”
Written by albert on . Posted in News.

Robust ferroelectricity in epitaxial Hf1/2Zr1/2O2 thin films
Written by albert on . Posted in News.
J. Lyu, I. Fina, R. Solanas, J. Fontcuberta, and F. Sánchez
Appl. Phys. Lett. 113, 082902 (2018)
Control of polar orientation and lattice strain in epitaxial BaTiO3 films on silicon
Written by albert on . Posted in News.
J. Lyu, S. Estandía, J. Gazquez, M. F. Chisholm, I. Fina, N. Dix, J. Fontcuberta, and F. Sánchez
ACS Applied Materials & Interfaces
Roger Castellanos, a young bachelor from Girona is in a short stage at MULFOX.
Written by albert on . Posted in News, Visitors.

“My main interests are food, sport and politics. I am staying at ICMAB for all July, studying ferroelectric memristors and spin currents, tutored by Dr. Ferran Macià”
Josep Fontcuberta imparteix una classe sobre “Nanotecnologies per a les comunicacions i la informació”
Written by albert on . Posted in Outreach.
Josep Fontcuberta imparteix una classe sobre “Nanotecnologies per a les comunicacions i la informació” – en el marc del Curs: “CIÈNCIA I TECNOLOGIA” de la Universitat Catalana d’Estiu (50ena edició, Manresa, 7 de juliol 2018).
Pep Fontcuberta delivers an oral presentation at ICM 2018 on “Magnetoresistance in Pt/CoFe2O4 bilayers controlled by competing spin accumulation and interfacial chemical reconstructions”
Written by albert on . Posted in News.


“Pep Fontcuberta delivers an oral presentation at ICM 2018 on “Static and dynamic control of the orbital occupancy in LaNiO3”
Written by albert on . Posted in News.

Control of the Polarization of Ferroelectric Capacitors by the Concurrent Action of Light and Adsorbates
Written by albert on . Posted in News.
Fanmao Liu, Ignasi Fina, Guillaume Sauthier, Florencio Sánchez, Andrew M. Rappe, and Josep Fontcuberta
ACS Appl. Mater. Interfaces, Article ASAP, June 18, 2018
POST-Doctoral positions (3 years) offered
Written by albert on . Posted in Job offers, News.
Josep Fontcuberta imparteix una classe sobre “Nanotecnologies per a les comunicacions i la informació” – en el marc del Curs: “CIÈNCIA I TECNOLOGIA” de la Universitat Catalana d’Estiu (50ena edició, Manresa, 7 de juliol 2018).
Written by albert on . Posted in News.

Peter Manshausen
Written by albert on . Posted in Former Members, News.
Hi, I’m Peter, a third year physics student from Heidelberg, Germany. I will be doing experiments on spintronics during July 2018 and the beginning of August. Other than that I’ll spend my time reading at the beach and exploring Barcelona and its surroundings. See you around!
Generation and stability of dynamical skyrmions and droplet solitons
Written by albert on . Posted in News.
Nahuel Statuto, Joan Manel Hernàndez , Andrew D Kent and Ferran Macià
Nanotechnology, 29 325302 (2018)
Low-Temperature Dielectric Anisotropy Driven by an Antiferroelectric Mode in SrTiO 3
Written by albert on . Posted in News.
Blai Casals, Andrea Schiaffino, Arianna Casiraghi, Sampo J. Hämäläinen, Diego López González, Sebastiaan van Dijken, Massimiliano Stengel, and Gervasi Herranz
Generation and annihilation time of magnetic droplet solitons
Written by albert on . Posted in News.
J. Hang, C. Hahn, N. Statuto, F. Macià, A. D. Kent
Scientific Reports 8, 6847 (2018)
Congratulations to David Pesquera former student of our group that completed his PhD in 2014, has now been awarded with the “Premi Extraordinari de Doctorat” (Outsating PhD Thesis 2014) de la UAB. Good job David!
Written by albert on . Posted in News.

2018
Written by albert on . Posted in Publications.
Tailoring Lattice Strain and Ferroelectric Polarization of Epitaxial BaTiO3 Thin Films on Si(001),
J. Lyu, I. Fina, R. Solanas, J. Fontcuberta, and F. Sánchez
Scientific Reports 8, 495 (2018)
“Top 100” in Scientific Reports 2018
Magnetoresistance in Hybrid Pt/CoFe2O4 Bilayers Controlled by Competing Spin Accumulation and Interfacial Chemical Reconstruction
H. B. Vasili, M. Gamino, J. Gàzquez, F. Sánchez, M. Valvidares, P. Gargiani, E. Pellegrin, and J. Fontcuberta
ACS Appl. Mater. Interfaces, 10, 12031−12041 (2018)
Generation and annihilation time of magnetic droplet solitons
J. Hang, C. Hahn, N. Statuto, F. Macià, A. D. Kent
Scientific Reports 8, 6847 (2018)
Low-Temperature Dielectric Anisotropy Driven by an Antiferroelectric Mode in SrTiO3
B. Casals, A. Schiaffino, A. Casiraghi, S. J. Hämäläinen, D. López González, S. van Dijken, M. Stengel, and G. Herranz
Phys. Rev. Lett. 120, 217601 (2018)
Generation and stability of dynamical skyrmions and droplet solitons
N. Statuto, J. M. Hernàndez , A. D Kent and F. Macià
Nanotechnology, 29 325302 (2018)
Control of the Polarization of Ferroelectric Capacitors by the Concurrent Action of Light and Adsorbates
F. Liu, I. Fina, G. Sauthier, F. Sánchez , A. M. Rappe, and J. Fontcuberta
ACS Appl. Mater. Interfaces, 10, 23968−23975 (2018)
Control of polar orientation and lattice strain in epitaxial BaTiO3 films on silicon
J. Lyu, S. Estandía, J. Gazquez, M. F. Chisholm, I. Fina, N. Dix, J. Fontcuberta, and F. Sánchez
ACS Applied Materials & Interfaces, 10, 25529−25535 (2018)
Robust ferroelectricity in epitaxial Hf1/2Zr1/2O2 thin films
J. Lyu, I. Fina, R. Solanas, J. Fontcuberta, and F. Sánchez
Appl. Phys. Lett. 113, 082902 (2018)
Selectable texture in epitaxial ferroelectric BaTiO3 films integrated with silicon
J. Lyu, I. Fina, R. Solanas, J. Fontcuberta and F. Sanchez
CrystEngComm, 20, 6225–6229 (2018)
Subnanosecond magnetization dynamics driven by strain waves
M. Foerster, L. Aballe, J. Manel Hernàndez, and F. Macià
MRS BULLETIN , 43, 11, 854-859 (2018)
Unexpected large transverse magneto-optic Kerr effect at quasi-normal incidence in magnetoplasmonic crystals
R. Cichelero, M.A. Oskuei, M. Kataja, S.M. Hamidi, G. Herranz
Journal of Magnetism and Magnetic Materials 468, 79- 84 (2018)
Non-reciprocal diffraction in magnetoplasmonic gratings
R. Cichelero, M. Kataja, M. Campoy-Quiles, and G. Herranz
Optics Express 26, Issue 26, 34842 – 34852 (2018)
Magnetoresistance in Hybrid Pt/CoFe2O4 Bilayers Controlled by Competing Spin Accumulation and Interfacial Chemical Reconstruction
Written by albert on . Posted in News.
H. B. Vasili, M. Gamino, J. Gàzquez, F. Sánchez, M. Valvidares, P. Gargiani, E. Pellegrin, and J. Fontcuberta.
ACS Appl. Mater. Interfaces 2018, 10, 12031−12041
https://pubs.acs.org/doi/abs/10.1021/acsami.8b00384
Dr. Aleksandr Nossov, from the N.Miheev Institute of Metal Physics of Ural Branch of Russian Academy of Sciences, is visiting our group at ICMAB, within the NFFA framework, to perform experiments on magnetic thin films.
Written by albert on . Posted in News, Visitors.

We announce the forthcoming COST TO-BE Spring Meeting 2018 to be organized by the Institut de Ciència de Materials de Barcelona and held in the Eden Roc Hotel at Sant Feliu de Guíxols, north of Barcelona, 12th–14th March 2018
Written by albert on . Posted in News.
We announce the forthcoming COST TO-BE Spring Meeting 2018 to be organized by the Institut de Ciència de Materials de Barcelona and held in the Eden Roc Hotel at Sant Feliu de Guíxols, north of Barcelona, 12th–14th March 2018

The meeting is going to be the last in a series of meetings organized by the COST Action TO-BE (for Towards Oxide-Based Electronics). It aims to network researchers working in the field of the science and technology of transition-metal oxides and, to help them sharing their expertise, defining future strategies, and pursuing jointly funding opportunities.
Participation at the meeting is open to scientists, both from the public research sector and from the private sector. It is NOT restricted to the members of the Action. Non-EU participants are also very welcome to attend. One of the actions undertaken by TO-BE is to promote building a Roadmap “Towards Oxide Electronics” that we expect releasing early 2018. The forthcoming TO-BE Spring Meeting would be the opportunity for contributors to present their views on different aspects of oxide electronics.
The meeting will feature invited presentations delivered by contributors to the Roadmap, as well as flash and poster contributions.
Submission of abstracts will be open on 1st December 2017. Please submit your work by 1st January 2018.
For further information, please visit the website:
https://congresses.icmab.es/tobe2018/
Thanks to the support of the COST TO-BE Action, participation is free of charge. However, registration is necessary. See:
https://congresses.icmab.es/tobe2018/
We sincerely hope that you will be able to attend the COST TO-BE Spring Meeting 2018 and we look forward to seeing you in March 2018
Finally, just after the COST TO-BE Spring Meeting 2018, the COST organized school on “Oxide-based Electronic Technologies” (15th-17th March) will be held at the same place (Hotel Eden Roc, Sant Feliu de Guíxols). Information will be posted soon.
Sincerely yours,
Mariona Coll and Josep Fontcuberta
Oxides flight high. Oxide-based non-volatile memories, fabricated and integrated by our colleague Pablo Levy and his team in CNEA (Buenos Aires), were successfully launched to space on 2th.02.2018 and are now orbiting the Earth. Congratulations!
Written by albert on . Posted in News.

Oxides flight high. Oxide-based non-volatile memories, fabricated and integrated by our colleague Pablo Levy and his team in CNEA (Buenos Aires), were successfully launched to space on 2th-02-2018 and are now orbiting the Earth. Congratulations !
http://www.conicet.gov.ar/labosat-tecnologia-argentina-en-el-espacio/
Agustin Lopez, PhD student from Buenos Aires, is going to stay in our group for one month
Written by albert on . Posted in News.

Hi! I’m Agustin, and I’m a PhD student from Buenos Aires, Argentina. This is my first time in Barcelona. I’m going to be here for one month and I will learn how to characterize ferroelectric thin films with the group of Josep Fontcuberta. In my free time I like playing videogames, reading a lot of books and spending time with my girlfriend and my friends.
February, 2018.
Early-Stage Research Fellow, PhD Position (DEADLINE February 1st 2018)
Written by albert on . Posted in News.

INPhINIT, ”la Caixa” Doctoral Fellowship Programme is devoted to attract international Early-Stage Researchers to top Spanish research centres, offering an attractive and competitive environment for excellent research.
INPhINIT offers a 3-year employment contract, including trasnational, intersectoral and interdisciplinary mobility opportunities, and attend a full range of complementary training courses and workshops.
Within this Program, we are looking for excellent candidates to join the Multifunctional Thin Films and Complex Oxides lab to work on these research projects:
1.- Photo-writing in ferroelectric green memory devices
2.- Pure spin currents: a toggle for energy-efficient control of magnetic memories
3.- Breaking symmetry and conventional wisdoms for efficient photovoltaics
4.- Low-Loss Multifunctional Plasmonic Metamaterials
5.- Dynamical modulation of electron spins with microwaves
6.- Bioinspired Magnetic Nanodevices
7.- Ferroelectric nano-oscillators for pattern recognition and social networks
Open call for the INPhINIT “La Caixa” Doctoral Fellowship Programme – Opportunities at ICMAB-CSIC
Manuel Bibes, former PhD student in our team has been awarded with the Descartes-Huygens Prize 2017
Written by albert on . Posted in News.

Manuel Bibes has beeb awarded with the Descartes-Huygens Prize 2017 as announced by the Royal Netherlands Academy of Arts and Sciences (KNAW), the Embassy of France in the Netherlands and the Académie des Sciences, for their outstanding research research in nanoscience and their contribution to Franco-Dutch relations. Congratulations Manu!
http://www.academie-sciences.fr/fr/Prix-internationaux/prix-descartes-huygens.html
Tailoring Lattice Strain and Ferroelectric Polarization of Epitaxial BaTiO3 Thin Films on Si(001),
Written by albert on . Posted in News.
J. Lyu, I. Fina, R. Solanas, J. Fontcuberta, and F. Sánchez
Scientific Reports 8, 495 (2018)
Doi:10.1038/s41598-017-18842-5
X-Ray Diffraction
Written by albert on . Posted in Facilities.
The X-ray Diffraction Laboratory is a consolidated service of the ICMAB institute. The main objective of the service is to meet the needs of the different departments of the center offering the maximum possible benefits to the institute users and it is also available to external users.
Based on the principles of X-ray diffraction, a wealth of structural and microstructural information about crystalline materials can be derived. In materials science, knowledge of the structure and composition of the materials studied is a key requirement for understanding their properties.
Our fast, accurate and customized services include data collection, qualitative and quantitative phase analysis as well as texture measurements (pole figures), residual stress, reciprocal space maps, etc. The most common function of the service is the acquisition of X-ray diffraction data under different conditions, e.g. by using flat sample and Bragg-Brentano geometry, thin film diffraction, texture determination on layers, microdiffraction and qualitative analysis in capillary materials.
Plenary talk on 14th December 2017 at the workshop “Multifunctional oxides: Sinergy between fundamental science and novel technologies” by Gervasi Herranz
Written by albert on . Posted in News, Uncategorized.
Invited Lecture at the Center for Correlated Electron Systems IBS (Prof. Tae Won Noh’s Group), 4 December 2017
Written by albert on . Posted in News.

The Invited Lecture, was given by Gervasi Herranz at the Center for Correlated Electron Systems IBS (Prof. Tae Won Noh’s Group), 4 December 2017.
The Title of the Seminar was “In-situ imaging of electric field-induced ferroelastic domain motion in SrTiO3 “


Please visit:
